3月31日晚,基础物理中心举行《2025系列学术报告》第三期,中心青年教师方基宇博士在线上作“原子核β衰变的Gross理论相关研究”学术报告,报告由吴宏伟老师主持,基础物理研究中心成员及澳门六合彩三中三
的部分老师和学生参加了报告会。
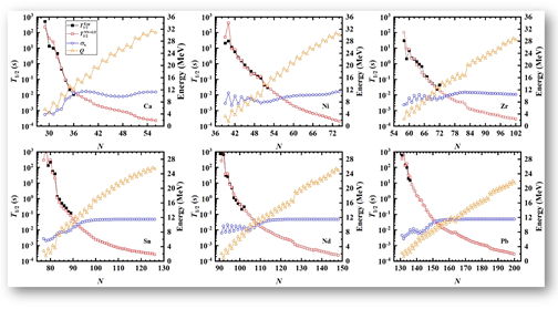
原子核β衰变的Gross理论能够计算广泛核素区域的β衰变性质,是一种足以处理原子核衰变过程某些平均性质的方法,并不取决于个别末态能级的详细结构,是一种能够描述各种类型β衰变的宏观模型。近年来,机器学习在很多方面取得了令人瞩目的成就,是当前科学技术领域最为热门、发展最快的方向之一。


方基宇博士详细介绍了将机器学习方法与Gross理论相结合,对Gross理论的宽度参数进行精确描述,进而发展结合神经网络的Gross理论,能够进一步提高Gross理论的预言精度,并展示了相关研究成果。最后,方基宇博士与参会老师们进行了积极讨论,为后续的相互交流与合作奠定了基础。
方基宇,博士毕业于安徽大学物理与光电工程澳门六合彩三中三
。23年6月入职澳门六合彩三中三-平码三中三
。主要从事原子核β衰变寿命的理论研究,在Phys. Rev. C、Nucl. Sci. Tech.等期刊上发表论文数篇。